均值和协方差矩阵的估计量定义
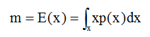
设模式的类概率密度函数为p(x),则其均值向量定义为:

其中,x = (x1, x2, …, xn)T,m = (m1, m2, …, mn)T。若以样本的平均值作为均值向量的近似值,则均值估计量为:

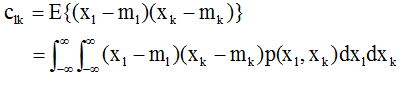
协方差矩阵为:

其每个元素clk定义为:

其中,xl、xk和ml、mk分别为x和m的第l和k个分量。
协方差矩阵写成向量形式为:
协方差矩阵的估计量(当N>>1时)为:

这里,样本模式总体为{ x1, x2, …, xk, …, xN}。因为计算估计量时没有真实的均值向量m可用,只能用均值向量的估计量来代替,会存在偏差。



所有评论(0)