机器学习期中复习
机器学习期中复习0.概念性质分类:定性(离散)二分类:仅正例与负例两种多分类:多种结果回归:定量(连续)是否存在标记数据有监督学习 - 有标记数据的训练无监督学习 - 无标记数据的训练半监督学习 - 使用大量的未标记数据,以及同时使用标记数据,来进行模式识别工作学习过程:学习阶段 =>训练阶段 => 测试1.聚类概念将数据集中的样本划分为若干个通常是不相交的子集(求划分),每个子集称为
0.概念
性质
-
分类:定性(离散)
- 二分类:仅正例与负例两种
- 多分类:多种结果
-
回归:定量(连续)
是否存在标记数据
- 有监督学习 - 有标记数据的训练
- 无监督学习 - 无标记数据的训练
- 半监督学习 - 使用大量的未标记数据,以及同时使用标记数据,来进行模式识别工作
学习过程:学习阶段 => 训练阶段 => 测试
1.聚类
概念
- 将数据集中的样本划分为若干个通常是不相交的子集(求划分),每个子集称为一个“簇(cluster)”
K-Means 算法
-
步骤
- step1.在样本数据中随机选取k个点
- step2.计算各样本数据向量与k个随机点的距离,选择与其距离最近的那个随机点,归为一类
- step3.已经分好的k个类各自计算类内数据的的平均值,得到新的k个点的参数
- 循环step2、step3,直到k个点的位置不再发生变化

-
距离计算
- 欧式距离
- d(xi,xj)=∑u=1n(xiu−xju)2{d(x_i,x_j) = \sqrt{\sum_{u=1}^{n}{(x_{{iu}-x_{ju}})^2}}}d(xi,xj)=∑u=1n(xiu−xju)2
- 闵可夫斯基距离
- d(xi,xj)=(∑u=1n(xiu−xju)p)1p{d(x_i,x_j) = (\sum_{u=1}^{n}{(x_{{iu}-x_{ju}})^p})^{\frac{1}{p}}}d(xi,xj)=(∑u=1n(xiu−xju)p)p1
- p = 1时:曼哈顿距离
- p = 2 时: 欧几里得距离
- 欧式距离
-
缺点:
- 必须要指定分成几类(但是不一定知道要分成几类)
-
改进:
- 基于密度的聚类算法 —— DBSCAN
DBSCAN(Density-Based Spatial Clustering Application with Noises)
-
概念:
-
密度:
- 在一定 ε 邻域中,其他点的数量多少
-
ε 邻域:
- 以其为中心,ε 为半径的范围
-
核心对象:
- 当某点的 ε 邻域内的其他样本多于一定值时,称其为一核心对象
-
密度直达:
- 对一核心对象,其 ε 邻域所有点由其密度直达(单向,不满足对称性)
-
密度可达:
- 某点对于另一点通过密度直达的传递关系能达到的联通效果(满足直递性,不满足对称性)
-
密度相邻:
- 若两点都可以由另一个点密度可达,称这两点密度相邻(无方向,满足对称性)
-
关于对称性的解释:
- 由于闵可夫斯基距离计算去奇数次方的时候可能出现负距离,所以距离两点之间的距离是有方向的( w(u,v) != w(v,u) ),所以 v 可以由 u 密度直达但反之不一定。

-
-
步骤:
- 随机选择一个高密度点作为种子,以其所有密度可达的点作为一类,若仍有可做种子(包含去重操作)的剩余点,则再次随机选取种子,重复上述操作。

层次聚类
-
类似生成树算法?
-
步骤:
-
初始化:
- 每个点各成一类
-
循环:
- 选取距离最近的两个类,若二者的距离小于阈值,则把这两者合为一类,否则,结束循环
-

-
聚类结果的评价
- 类间最大,类内最小
2. 线性模型
概念:
- 通过属性值的线性组合来进行值的预测
- 可分为线性分类和线性回归
线性回归:
-
使用线性模型达到对整体趋势的接近
- 评判:均方误差最小化
- Gain(D,a)=Ent(D)−∑v=1VDvDEnt(Dv){Gain(D,a)=Ent(D)-\sum_{v=1}^{V}{\frac{D^v}{D}Ent(D^v)}}Gain(D,a)=Ent(D)−∑v=1VDDvEnt(Dv)
-
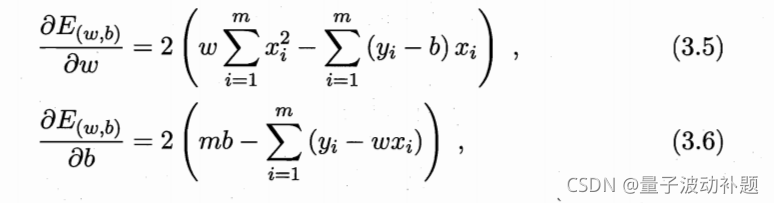
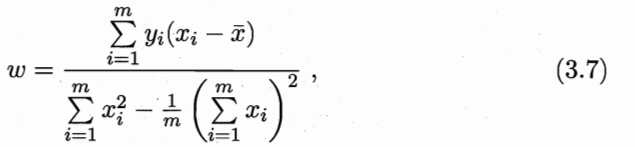
计算方式:最小二乘法
-
对w与b分别求偏导,令以下两式为0
-
得到以下闭式解
-
-
-
高维情况
- 改写为向量矩阵(b值置1)
-

-
令以下式为零即可
-
若出现多解,考虑正则化
-
- 改写为向量矩阵(b值置1)
-
线性分类
-
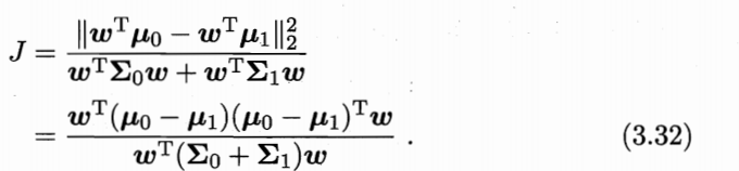
LDA:线性判别分析
-
作用:
- 降维、分类
-
-
基本思想:投影
-
给定一个训练样本集,设法将样本的投影点尽可能的接近,异类样本投影点的中心尽可能的远离——类内最小,类间最大
-
对样本进行分类的时,将其投影到同样的直线上去,根据投影点的位置来判定该样本的类别
-
-
计算:
- 最大化目标
-
-

- 转化:
-

等价于min⏟w −wTSbw{\underbrace {min}_w ~ -w^TS_bw}w min −wTSbw s.t.wTSw=1{s.t. w^TS_w = 1}s.t.wTSw=1 -
-
-
带约束的求解:拉格朗日乘数法
-
求解 f(x,y) 在 Φ(x,y)=0 下的极值
- 加入参数:拉格朗格乘子 λ- F(x,y,λ) = f(x,y) + λ * Φ(x,y)
-
使用最小二乘法对 F(x,y,λ) 进行求解
-
多分类问题
-
OVO : 一对一
- 每个类别两两配对进行二分类,最后结果由投票产生
-
OVR : 一对其余
- 每个类别作为正例与其余所有类别进行二分类,若有多个类别作为正例,则考虑置信度。
-
-

-
-
3. 决策树
算法分类(基于选取子结点的依据)
- ID3:信息增益
- C4.5:增益率
- CART:基尼指数
信息增益
-
信息熵:度量信息的不确定性
- 设共分为Dv个类
- Ent(D)=−∑k=1∣y∣Pklog2Pk{Ent(D) = -\sum_{k=1}^{|y|}{P_klog_2{P_k}}}Ent(D)=−∑k=1∣y∣Pklog2Pk
-
信息增益:
- 某属性分解之前的信息熵与分解之后各块信息熵均值的差
- 类似加权平均,(总体为D,分为V块,为Dv)
- Gain(D,a)=Ent(D)−∑v=1VDvDEnt(Dv){Gain(D,a)=Ent(D)-\sum_{v=1}^{V}{\frac{D^v}{D}Ent(D^v)}}Gain(D,a)=Ent(D)−∑v=1VDDvEnt(Dv)
- 差值越大,说明引入属性后信息不确定性下降越多,说明属性权重越重
ID3:
- 每次在当前结点还未选择的属性中选出信息增益最大的属性后,按照选中的属性分成几块,若分成的块中仍有不同类别的样本,则继续分解此块(一条路径上一个属性只能分解一次)
决策树评价指标:
-
ROC曲线
-
对于一个二分问题,可将实例(case)分成正类(positive)或负类(negative)。如果进行预测,会出现四种情况:
-

- ROC曲线即是根据一系列不同的二分类方式(分界值或决定阈),以真正例率(True Positive Rate,TPR = TP / (TP+FN)也就是灵敏度)为纵坐标,假正例率(False Positive Rate,FPR = FP / (FP + TN),1-特效性)为横坐标绘制的曲线。
- ROC曲线的面积,即AUC。
-
-
AUC
- AUC(Area Under Curve)即ROC曲线下与坐标轴围成的面积,其概率学上的意义是:随机选取一个正例和一个负例,分类器给正例的打分大于分类器给负例的打分的概率。
剪枝:
-
预剪枝
-
如果分解后的预测准确率比之间咬定一个结果的准确率还要低,就不再分解
-
例:全局:10个瓜,5个好瓜 -> 咬定好瓜,精确度:50%
-
按照纹理分类:
- 清晰:6个里面4个好瓜 -> 判为好瓜 -> 4个判对
- 稍糊:3个里面1个好瓜 -> 判为坏瓜 -> 2个判对
- 模糊:1个坏瓜 -> 坏瓜 -> 1个判对
- 精确度:(4+2+1)/ 10 = 70% > 50% 无须剪枝
-
-
-
-
后剪枝:
- 在生成决策树后,判断剪去某结点后整体精确度会不会上升
更多推荐







所有评论(0)