GMM
单变量高斯分布 均值,方差多元变量高斯分布 均值,协方差矩阵单变量混合高斯分布多元混合高斯分布混合成分M的数量是一个先验值,主流做法是直接选取。语音识别中,输入向量x的维度很大时,用对角协方差矩阵代替全协方差矩阵,以减少参数量。参数估计:{cm,μm,Σm{c_m},{\mu _m},{\Sigma _m}cm,μm,Σm}EM(期望最大化算法)是MLE...
·
-
单变量高斯分布 均值,方差
-
多元变量高斯分布 均值,协方差矩阵
-
单变量混合高斯分布
-
多元变量混合高斯分布
混合成分M的数量是一个先验值,主流做法是直接选取。
语音识别中,输入向量x的维度很大时,用对角协方差矩阵代替全协方差矩阵,以减少参数量。 -
参数估计:{cm,μm,Σm{c_m},{\mu _m},{\Sigma _m}cm,μm,Σm}
-
EM(期望最大化算法)是MLE(最大似然准则估计方法)的一种。
-
EM算法是给定确定数量的混合分布成分的情况下,去估计各个分布参数的最通用方法。
EM是一种迭代算法。
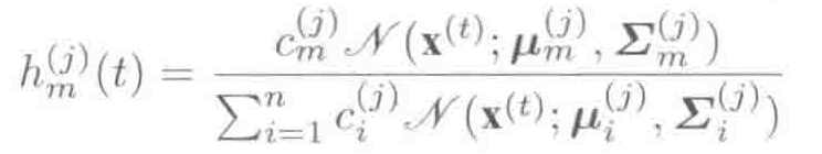
E步:计算得到某个高斯成分的后验概率:
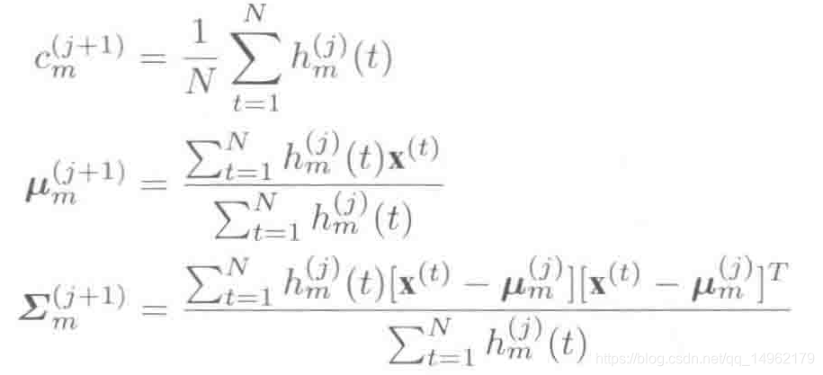
M步:用MLE得到更新后的参数:
更多推荐



所有评论(0)