《深度学习Ng》课程学习笔记04week1——卷积神经网络
http://blog.csdn.net/u011239443/article/details/790570161.1 计算机视觉计算机视觉领域的问题图片分类目标检测图片风格转化深度学习在图像中的应用过多的权重参数矩阵让计算、内存消耗使得传统神经网络不能接受。1.2 边缘检测示例过滤器示例该过滤器为竖直边缘过滤器。为什么叫
http://blog.csdn.net/u011239443/article/details/79057016
1.1 计算机视觉
计算机视觉领域的问题
- 图片分类
- 目标检测
- 图片风格转化

深度学习在图像中的应用

过多的权重参数矩阵让计算、内存消耗使得传统神经网络不能接受。
1.2 边缘检测示例
过滤器示例



该过滤器为竖直边缘过滤器。为什么叫做竖直边缘呢?我们再用该过滤器举个例子:

通过过滤器,能过滤检测出竖直边缘。
1.3 更多边缘检测内容
水平检测过滤器

其他过滤器

这些过滤器的中间权值比较大,使得中心点附近的像素更具有代表性,这样会有更好的鲁棒性。
深度学习中的过滤器

在CNN中,我们会把过滤器中的各个权值作为参数来训练。这样使得过滤器不仅仅能检测竖直或者水平的边缘特征,而且可以检测到角度旋转后的复杂边缘。
#1.4 Padding
过滤器有个缺点就是会把矩阵的大小减少,使用 Padding,将图像周边都填充0,就可以解决这个问题:
#1.5 卷积步长
过滤器每次移动可以不一定的一步,我们来看下步长为2的情况:
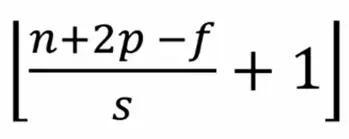
过滤后矩阵边长的公式为:
- n:原矩阵边长
- p:padding 填充边长
- f:过滤器边长
- s :过滤器移动步长
1.6 卷积中“卷”的体现之处 & 1.7 单层卷积网络
结合例子整体的讲解下一次卷积的过程。如我们有 6 * 6 * 3(3是RGB,这里称作信道) 的图片,那么我们的过滤器会是 f * f * 3,过滤器的信道数要和原来图片相同。过滤器的每个信道在原图与之对应的信道上进行过滤,这里就会生成 4 * 4 * 3 的图(图中没有画出来),生成图各个信道的图的对应位置相加,然后加上偏置项b,讲累加的结果传入激活函数,就得到了的 4 * 4 的图。不同过滤器得到的图作为某个信道的图堆积成最后的结果,也就是说 有 n 个过滤器,那么过滤得到的图就有 n 个信道。

可以看到,我们训练的是过滤器的权重矩阵W,无论原图变得再大,我们需要训练的矩阵W大小是不变的。
1.8 简单卷积网络示例

1.9 池化层


1.10 卷积神经网络示例(LeNet-5)



更多推荐



所有评论(0)