快排&堆排&归排&三种排序的比较
目录快排堆排序归并排序三种排序的比较快排快速排序中最简单的(递归调用)注:倒序,和 列表中有大量重复元素时,时间复杂度很大快排例子注:快排代码实现(类似于二叉树 递归调用) 快排代码#!/usr/bin/env python# -*- coding:utf-8 -*-import randomimport syssys.setrecursionlim...
目录
快排
快速排序中最简单的(递归调用)
注:倒序,和 列表中有大量重复元素时,时间复杂度很大
快排例子
注:快排代码实现(类似于二叉树 递归调用)
时间复杂度:O(nlog₂n)
空间复杂度:O(nlog₂n)
稳定性:不稳定
快排代码
#!/usr/bin/env python
# -*- coding:utf-8 -*-
import random
import sys
sys.setrecursionlimit(10000000) #设置系统最大递归深度
def quick_sort(data, left, right):
if left < right:
mid = partition(data, left, right) # mid返回的是上一个用来排序那个数的下标
quick_sort(data, left, mid - 1)
quick_sort(data, mid + 1,right)
# 每执行一次partition函数都可以实现将某个数左边都比这个数小右边都比这个数大
def partition(data, left, right):
tmp = data[left]
while left < right:
while left < right and data[right] >= tmp: # 从右向左找小于tmp的数放到左边空位置
right -= 1
data[left] = data[right] # 将右边小于tmp值得数放到左边空位置
while left < right and data[left] <= tmp: # 从左向右找到大于tmp的值放到右边空位置
left += 1
data[right] = data[left] # 将右边大于tmp值得数放到右边空位置
data[left] = tmp
return left
data = list(range(100))
random.shuffle(data) #将有序列表打乱
quick_sort(data, 0, len(data) - 1)
print(data)
不使用递归实现快排
#! /usr/bin/env python
# -*- coding: utf-8 -*-
def quick_sort(arr):
'''''
模拟栈操作实现非递归的快速排序
'''
if len(arr) < 2:
return arr
stack = []
stack.append(len(arr)-1)
stack.append(0)
while stack:
l = stack.pop()
r = stack.pop()
index = partition(arr, l, r)
if l < index - 1:
stack.append(index - 1)
stack.append(l)
if r > index + 1:
stack.append(r)
stack.append(index + 1)
def partition(arr, start, end):
# 分区操作,返回基准线下标
pivot = arr[start]
while start < end:
while start < end and arr[end] >= pivot:
end -= 1
arr[start] = arr[end]
while start < end and arr[start] <= pivot:
start += 1
arr[end] = arr[start]
# 此时start = end
arr[start] = pivot
return start
lst = [1,3,5,7,9,2,4,6,8,10]
quick_sort(lst)
print lst # [1, 2, 3, 4, 5, 6, 7, 8, 9, 10]
快排简易实现
#! /usr/bin/env python
# -*- coding: utf-8 -*-
def quick(list):
if len(list) < 2:
return list
tmp = list[0] # 临时变量 可以取随机值
left = [x for x in list[1:] if x <= tmp] # 左列表
right = [x for x in list[1:] if x > tmp] # 右列表
return quick(left) + [tmp] + quick(right)
li = [4,3,7,5,8,2]
print quick(li) # [2, 3, 4, 5, 7, 8]
#### 对[4,3,7,5,8,2]排序
'''
[3, 2] + [4] + [7, 5, 8] # tmp = [4]
[2] + [3] + [4] + [7, 5, 8] # tmp = [3] 此时对[3, 2]这个列表进行排序
[2] + [3] + [4] + [5] + [7] + [8] # tmp = [7] 此时对[7, 5, 8]这个列表进行排序
'''
快排的原理
快排思路详解
# 从排序前--------> 到P归位 经历过程(前面都比5小后面都比5大)
# 1、 首先从右向左比较,取出列表第一个元素5(第一个位置就空出来)与列表最后一个元素8比较,8>5不换位置
# 2、 用5与-2位置的9比,5<9不换位置
# 3、 5与-3位置的2比较,2<5,将-3位置的5放到1号位置,那么-3号位置空出来了,然后从左往右比较
# 4、 5与2号位置的7比,5<7,将7放到-3号位置,2号位置空出来了,在从右往左比
# 5、 -4号位置的1小于5将1放到空出的2号位置,-4位置空出来了,再从右向左比
# 6、 这样第一次循环就实现了5放到列表中间,前面的都比5大,后面的都比5小
快排与冒泡时间复杂度对比
快排最坏时间复杂度为何为O(n2)
- 每次划分只能将序列分为一个元素与其他元素两部分,这时的快速排序退化为冒泡排序
2.如果用数画出来,得到的将会是一棵单斜树,也就是说所有所有的节点只有左(右)节点的树;平均时间复杂度O(n*logn)
堆排序
堆的定义
- 堆中某个节点的值总是不大于或不小于其父节点的值
- 堆总是一棵完全二叉树
- 完全二叉树定义:
若设二叉树的深度为h,除第 h 层外,其它各层 (1~h-1) 的结点数都达到最大个数
第 h 层所有的结点都连续集中在最左边,这就是完全二叉树
- 完全二叉树特性
一个高度为h的完全二叉树最多有 2n -1 个节点
根为 i 号节点,左孩子 为 2i、 右孩子为 2i+1,父亲节点 (i – 1) / 2
一个满二叉树 第 m层节点个数 等于 2m-1 个
推导一个h层的满二叉树为何 有 2h -1 个节点

调长定义(节点的左右子树都是堆但自己不是堆)
- 调长图解

- 调长原理
- 首先将2拿出来与9和7比,这里面9最大,就用9作为根
- 2放到9以前的位置,与8和5比,8最大放到开始9的位置
- 2放到起始8的位置与6和4比,6最大,就出现了右边那张图了
构造堆:从最后一个有孩子的父亲开始
构造堆
#! /usr/bin/env python
# -*- coding: utf-8 -*-
def sift(data, low, high):
''' 构造堆 堆定义:堆中某节点的值总是不大于或不小于父节点的值
:param data: 传入的待排序的列表
:param low: 需要进行排序的那个小堆的根对应的号
:param high: 需要进行排序那个小堆最大的那个号
:return:
'''
i = low #i最开始创建堆时是最后一个有孩子的父亲对应根的号
j = 2 * i+ 1 #j子堆左孩子对应的号
tmp = data[i] #tmp是子堆中原本根的值(拿出最高领导)
while j <= high: #只要没到子堆的最后(每次向下找一层) #孩子在堆里
# if j < high and data[j] < data[j + 1]:
if j + 1 <= high and data[j] < data[j + 1]: #如果有右孩纸,且比左孩子大
j += 1
if tmp < data[j]: #如果孩子还比子堆原有根的值tmp大,就将孩子放到子堆的根
data[i] = data[j] #孩子成为子堆的根
i = j #孩子成为新父亲(向下再找一层)
j = 2 * i + 1 #新孩子 (此时如果j<=high证明还有孩,继续找)
else:
break #如果能干就跳出循环就会流出一个空位
data[i] = tmp #最高领导放到父亲位置
def heap_sort(data):
'''调整堆'''
n = len(data)
# n//2-1 就是最后一个有孩子的父亲那个子堆根的位置
for i in range(n // 2 - 1, -1, -1): #开始位置,结束位置, 步长 这个for循环构建堆
# for循环输出的是: (n // 2 - 1 ) ~ 0 之间的数
sift(data, i , n-1) # i是子堆的根,n-1是堆中最后一个元素
data = [20,50,20,60,70,10,80,30,40]
heap_sort(data)
print data # [80, 70, 20, 60, 50, 10, 20, 30, 40]
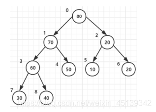
- 在构造有序堆时,我们开始只需要扫描一半的元素(n/2-1 ~ 0)即可,为什么?
- 因为(n/2-1)~0的节点才有子节点,如图1,n=8,(n/2-1) = 3 即3 2 1 0这个四个节点才有子节点
- 所以代码4~6行for循环的作用就是将3 2 1 0这四个节点从下到上,从右到左的与它自己的子节点比较并调整最终形成大顶堆,过程如下:
- 第一次for循环将节点3和它的子节点7 8的元素进行比较,最大者作为父节点(即元素60作为父节点)

- 第二次for循环将节点2和它的子节点5 6的元素进行比较,最大者为父节点(元素80作为父节点)

- 第三次for循环将节点1和它的子节点3 4的元素进行比较,最大者为父节点(元素70作为父节点)

- 第四次for循环将节点0和它的子节点1 2的元素进行比较,最大者为父节点(元素80作为父节点)

注:元素20和元素80交换后,20所在的节点还有子节点,所以还要再和它的子节点5 6的元素进行比较,这就是28行代码 i = j 的原因
- 至此有序堆已经构造好了!如上面右图

调整堆
- 调整堆过程
1、建立堆
2、通过调长,得到堆顶元素,为最大元素
3、去掉堆顶,将最后一个元素放到堆顶,此时可通过一次调整重新使堆有序
4、堆顶元素为第二大元素
5、重复步骤3,直到堆变空
- 调整堆具体步骤
堆顶元素80和尾40交换后–>调整堆
堆顶元素70和尾30交换后–>调整堆
堆顶元素60尾元素20交换后–>调整堆
其他依次类推,最终已排好序的元素如下
堆排序代码实现
# !/usr/bin/env python
# -*- coding:utf-8 -*-
import random
def sift(data, low, high):
''' 构造堆 堆定义:堆中某节点的值总是不大于或不小于父节点的值
:param data: 传入的待排序的列表
:param low: 需要进行排序的那个小堆的根对应的号
:param high: 需要进行排序那个小堆最大的那个号
:return:
'''
root = low # root最开始创建堆时是最后一个有孩子的父亲对应根的号
child = 2 * root + 1 # child子堆左孩子对应的号
tmp = data[root] # tmp是子堆中原本根的值(拿出最高领导)
while child <= high: # 只要没到子堆的最后(每次向下找一层) #孩子在堆里
if child + 1 <= high and data[child] < data[child + 1]: # 如果有右孩纸,且比左孩子大
child += 1
if tmp < data[child]: # 如果孩子还比子堆原有根的值tmp大,就将孩子放到子堆的根
data[root] = data[child] # 孩子成为子堆的根
root = child # 孩子成为新父亲(向下再找一层)
child = 2 * root + 1 # 新孩子 (此时如果child<=high证明还有孩,继续找)
else:
break # 如果能干就跳出循环就会流出一个空位
data[root] = tmp # 最高领导放到父亲位置
def heap_sort(data):
'''调整堆'''
n = len(data)
''' n//2-1 就是最后一个有孩子的父亲那个子堆根的位置 '''
for i in range(n // 2 - 1, -1, -1): # 开始位置,结束位置, 步长 这个for循环构建堆
# for循环输出的是: (n // 2 - 1 ) ~ 0 之间的数
sift(data, i, n - 1) # i是子堆的根,n-1是堆中最后一个元素
# 堆建好了,后下面就是挨个出数
for i in range(n - 1, -1, -1): # i指向堆的最后 这个for循环出数然后,调长调整堆
# for循环输出的是 : n-1 ~ 0之间所有的数,n-1就是这个堆最后那个数的位置
data[0], data[i] = data[i], data[0] # 将堆的第一个和最后一个值调换位置(将最大数放到最后)
sift(data, 0, i - 1) # 将出数后的部分重新构建堆(调长)
data = list(range(100))
random.shuffle(data) # 将有序列表打乱
heap_sort(data)
print(data)
初始化建堆过程时间:O(n) 公式推导
参考博客:https://www.cnblogs.com/GHzz/p/9635161.html
说明:建堆时间复杂度指初始化堆需要调整父节点和子节点顺序次数
推导初始化对时间复杂度:O(n)
''' 假设高度为:k '''
#### 1、推倒第i层的总时间:s = 2^( i - 1 ) * ( k - i )
# 说明:如果在最差的条件下,就是比较次数后还要交换;因为这个是常数,所以提出来后可以忽略;
'''
1. 2^( i - 1):表示该层上有多少个元素
2. ( k - i):表示子树上要下调比较的次数:第一层节点需要调整(h-1)次,最下层非叶子节点需要调整1次。
3. 推倒
倒数第1层下调次数:s = 2^( i - 1 ) * 0
倒数第2层下调次数:s = 2^( i - 1 ) * 1
倒数第3层下调次数:s = 2^( i - 1 ) * 2
倒数第i层下调次数:s = 2^( i - 1 ) * ( k - i )
'''
#### 2、一次新建堆总时间:S = n - longn -1 # 根据1中公式带人推倒
# S = 2^(k-2) * 1 + 2^(k-3)*2.....+2*(k-2)+2^(0)*(k-1) ===> 因为叶子层不用交换,所以i从 k-1 开始到 1;
'''
S = 2^(k-2) * 1 + 2^(k-3)*2.....+2*(k-2)+2^(0)*(k-1) # 等式左右乘上2,然后和原来的等式相减,就变成了:
S = 2^(k - 1) + 2^(k - 2) + 2^(k - 3) ..... + 2 - (k-1)
S = 2^k -k -1 # 又因为k为完全二叉树的深度,所以
(2^(k-1)) <= n < (2^k - 1 ) # 两边同时对2取对数,简单可得
k = logn # 实际计算得到应该是 log(n+1) < k <= logn
综上所述得到:S = n - longn -1,所以时间复杂度为:O(n)
'''
堆排序时间:O(nlogn) 公式推导
- 推导方法1
循环 n -1 次,每次都是从根节点往下循环查找,所以每一次时间是 logn,总时间:logn(n-1) = nlogn - logn
- 推导方法2
- 在一个堆中一次调长(调整堆)时间复杂度: log(n)
- 排序时一次出栈顶元素需要循环 n次,每次时间复杂度为:log(n)
- 所以总时间复杂度:nlog(n)
归并排序
归并原理图(递归调用)

时间复杂度:O(nlog₂n)
空间复杂度:O(1)
稳定性:稳定
归并排序代码
#! /usr/bin/env python
# -*- coding: utf-8 -*-
def merge(li, low, mid, high):
'''
:param li: 带排序列表
:param low: 列表中第一个元素下标,一般是:0
:param mid: 列表中间位置下标
:param high: 列表最后位置下标
:return:
'''
i = low
j = mid + 1
ltmp = []
while i <= mid and j <= high:
if li[i] < li[j]:
ltmp.append(li[i])
i += 1
else:
ltmp.append(li[j])
j += 1
while i <= mid:
ltmp.append(li[i])
i += 1
while j <= high:
ltmp.append(li[j])
j += 1
li[low:high+1] = ltmp
def mergesort(li, low, high):
if low < high:
mid = (low + high) // 2 #获取列表中间的索引下标
mergesort(li, low, mid) #先分解
mergesort(li, mid+1, high)
merge(li, low, mid, high) #然后合并
data = [10,4,6,3,8,2,5,7]
mergesort(data, 0 , len(data) -1)
print(data) # [2, 4, 6, 8, 10, 12, 14, 16, 18]
三种排序的比较
- 三种排序算法时间复杂度都是( O(nlogn) )
- 一般情况下,就运行时间而言
快速排序 < 归并排序 < 堆排序 - 三种排序算法的缺点
快速排序: 极端情况下排序效率低( O(n2) )
归并排序: 需要额外内存开销(需要新建一个列表放排序的元素)
堆排序: 在快的排序算法中相对较慢,堆排序最稳定
更多推荐



所有评论(0)