python 二叉搜索树 插入 查询 删除
二叉搜索树是一颗二叉树且满足性质:设x是二叉树的一个节点。如果y是x左子树的一个节点,那么y.key 小于等于 x.key;如果y是x右子树的一个节点,那么y.key大于等于 x.key二叉搜索树的操作: 查询 插入 删除左边小右边大#! /usr/bin/env python# -*- coding: utf-8 -*-import randomclass BiTreeNod...
·
二叉搜索树是一颗二叉树且满足性质:设x是二叉树的一个节点。如果y是x左子树的一个节点,那么y.key 小于等于 x.key;如果y是x右子树的一个节点,那么y.key大于等于 x.key
二叉搜索树的操作: 查询 插入 删除
左边小
右边大

从右往左读
#! /usr/bin/env python
# -*- coding: utf-8 -*-
import random
class BiTreeNode:
def __init__(self, data):
self.data = data
self.lchild = None # 左孩子
self.rchild = None # 右孩子
self.parent = None
class BST:
def __init__(self, li=None):
#创建要给根节点
self.root = None
#不是none
if li:
for val in li:
self.insert_no_rec(val)
#插入 node是节点 val是值 递归
def insert(self, node, val):
#node是空
if not node:
#只是创建节点,但是没有连接起来 空树,递归不需要特殊出来
node = BiTreeNode(val)
#12 < 17 往左走
elif val < node.data:
#这是父亲连着左孩子 --这是左孩子
node.lchild = self.insert(node.lchild, val)
#这是左孩子的父亲是 --这是父亲
node.lchild.parent = node
#这是右孩子
elif val > node.data:
node.rchild = self.insert(node.rchild, val)
#右孩子连着父亲
node.rchild.parent = node
return node
#非递归
def insert_no_rec(self, val):
#根节点
p = self.root
#没值
if not p: # 空树
self.root = BiTreeNode(val)
return
while True:
#左子树
if val < p.data:
if p.lchild:
#左子树有 p=左子树,往左子树走一下,继续往下走
p = p.lchild
else: # 左孩子不存在 左子树是个none没有,我就把它插入就可以了 这是父找子 --这是孩子
p.lchild = BiTreeNode(val)
#子找父亲,练级父亲 --这是父亲
p.lchild.parent = p
return
#右子树
elif val > p.data:
#有值,
if p.rchild:
#父亲链接右孩子
p = p.rchild
else:
p.rchild = BiTreeNode(val)
p.rchild.parent = p
return
else:
return
#查询递归
def query(self, node, val):
#如果是空数
if not node:
return None
#右边找 值大于数是往右边找
if node.data < val:
return self.query(node.rchild, val)
#左边找
elif node.data > val:
return self.query(node.lchild, val)
else:
return node
#非递归 是没有node。直接p就循环了
def query_no_rec(self, val):
#根节点
p = self.root
while p:
if p.data < val:
p = p.rchild
elif p.data > val:
p = p.lchild
else:
return p
#p是空 找不到,返回None
return None
#前序 根左右
def pre_order(self, root):
if root:
print(root.data, end=',')
self.pre_order(root.lchild)
self.pre_order(root.rchild)
#中序 左根右
def in_order(self, root):
if root:
self.in_order(root.lchild)
print(root.data, end=',')
self.in_order(root.rchild)
#后序 左右根
def post_order(self, root):
if root:
self.post_order(root.lchild)
self.post_order(root.rchild)
print(root.data, end=',')
li = list(range(0,500,2))
random.shuffle(li)
#查询 查10
tree = BST(li)
print(tree.query_no_rec(10).data)
#
#插入
#li = list(range(100))
#tree = BST(li)
#tree.pre_order(tree.root)
#print("")
#tree.in_order(tree.root)
#print("")
#tree.post_order(tree.root)
#print("")
#删除
# tree.delete(4)
# tree.delete(1)
# tree.delete(8)
# tree.in_order(tree.root)
#插入的
#查询
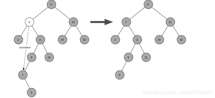
1、如果要删除的节点是叶子节点: 直接删除

如果要删除的节点只有一个孩子: 将此节点的父亲与孩子连接然后删除该节点

如果要删除的节点有两个孩子:将其右子树的最小节点(该节点最多有一个右孩子)删除,并替换当前节点
删5就要删7 图7
往左走,走的最小,是7,8都不行,不能往右走



#! /usr/bin/env python
# -*- coding: utf-8 -*-
import random
class BiTreeNode:
def __init__(self, data):
self.data = data
self.lchild = None # 左孩子
self.rchild = None # 右孩子
self.parent = None
class BST:
def __init__(self, li=None):
#创建要给根节点
self.root = None
#不是none
if li:
for val in li:
self.insert_no_rec(val)
#插入 node是节点 val是值
def insert(self, node, val):
#node是空
if not node:
#只是创建节点,但是没有连接起来 空树,递归不需要特殊出来
node = BiTreeNode(val)
#12 < 17 往左走
elif val < node.data:
#这是父亲连着孩子 --这是孩子
node.lchild = self.insert(self.lchild, val)
#这是孩子连着父亲 --这是父亲
node.lchild.parent = node
elif val > node.data:
node.rchild = self.insert(self.rchild, val)
node.rchild.parent = node
return node
#非递归
def insert_no_rec(self, val):
#根节点
p = self.root
if not p: # 空树
self.root = BiTreeNode(val)
print(self.root)
return
while True:
#左子树
if val < p.data:
print(p)
if p.lchild:
#左子树有 p=左子树,往左子树走一下,继续往下走
p = p.lchild
else: # 左孩子不存在 左子树是个none没有,我就把它插入就可以了 这是父找子 --这是孩子
p.lchild = BiTreeNode(val)
#子找父亲 --这是父亲
p.lchild.parent = p
return
#右子树
elif val > p.data:
if p.rchild:
p = p.rchild
else:
p.rchild = BiTreeNode(val)
p.rchild.parent = p
return
else:
return
#查询
def query(self, node, val):
#如果是空
if not node:
return None
#右边找
if node.data < val:
return self.query(node.rchild, val)
#左边找
elif node.data > val:
return self.query(node.lchild, val)
else:
return node
#非递归
def query_no_rec(self, val):
#根节点
p = self.root
while p:
if p.data < val:
p = p.rchild
elif p.data > val:
p = p.lchild
else:
return p
#返回None
return None
#前序
def pre_order(self, root):
if root:
print(root.data, end=',')
self.pre_order(root.lchild)
self.pre_order(root.rchild)
#中序
def in_order(self, root):
if root:
self.in_order(root.lchild)
print(root.data, end=',')
self.in_order(root.rchild)
#后序
def post_order(self, root):
if root:
self.post_order(root.lchild)
self.post_order(root.rchild)
print(root.data, end=',')
def __remove_node_1(self, node):
# 情况1:node是叶子节点
if not node.parent: #树就这一个节点,你要把它删除了 根节点
self.root = None #变成空树
#node是它父亲的左孩子 如果这个值是父亲的左孩子
if node == node.parent.lchild: #node是它父亲的左孩子 node.parent是父亲 就把它的孩子变为None
node.parent.lchild = None
#node.parent =None
else: #右孩子
node.parent.rchild = None
#node.lchild自己定义的
#只有一个左孩子
def __remove_node_21(self, node):
# 情况2.1:node只有一个左孩子
if not node.parent: # #判断是否为根节点,没有根节点
self.root = node.lchild #如果没有根节点,它的左孩子继承了根节点,就是新的根
node.lchild.parent = None
#node的值是
elif node == node.parent.lchild:
#父亲和孩子连接起来
#node.parent父亲
#node.lchild传的值的左孩子
#通过lchild 连接起来
node.parent.lchild = node.lchild #它的node.parent父亲,跟他左孩子node.lchild连接起来
#孩子连接它的父亲
node.lchild.parent = node.parent
else:
#父亲根它的孩子(只有左孩子),通过右孩子连接
node.parent.rchild = node.lchild
#左孩子根它父亲
node.lchild.parent = node.parent
#只有一个右孩子
def __remove_node_22(self, node):
# 情况2.2:node只有一个右孩子
if not node.parent:
self.root = node.rchild
elif node == node.parent.lchild:
node.parent.lchild = node.rchild
node.rchild.parent = node.parent
else:
node.parent.rchild = node.rchild
node.rchild.parent = node.parent
def delete(self, val):
if self.root: # 不是空树
node = self.query_no_rec(val)
if not node: # 不存在
return False
if not node.lchild and not node.rchild: #1. 叶子节点 没有左孩子和没有右孩子
self.__remove_node_1(node)
elif not node.rchild: # 2.1 只有一个左孩子 右孩子没有
self.__remove_node_21(node)
elif not node.lchild: # 2.2 只有一个右孩子 左孩子没有
self.__remove_node_22(node)
else: # 3. 两个孩子都有 右孩子最小值 删除5 min_node是11
min_node = node.rchild
#11的左孩子
while min_node.lchild:
#找到了7
min_node = min_node.lchild
#先把数据放过来 把最小的节点7替换到5呢 看图7
node.data = min_node.data
# 删除min_node 删除再看是满足min_node的1还是2
if min_node.rchild:
self.__remove_node_22(min_node)
else:
self.__remove_node_1(min_node)
#li = list(range(0,500,2))
#random.shuffle(li)
#tree = BST(li)
#print(tree.query_no_rec(10).data)
#
tree = BST([1,4,2,5,3,8,6,9,7])
#tree = BST(li)
tree.in_order(tree.root)
print("")
#tree.in_order(tree.root)
#print("")
#tree.post_order(tree.root)
#print("")
tree.delete(4)
# tree.delete(1)
# tree.delete(8)
tree.in_order(tree.root)

平均情况下,二叉搜索树进行搜索的时间 复杂度为O(lgn)
最坏情况下,二叉搜索树可能非常偏斜
解决方案
- 随机化插入
- AVL树
更多推荐



所有评论(0)