零、本节目标

在这里插入图片描述

一、线性回归的基本思想

用训练样本集估计模型中的参数,使模型在最小平方误差意义下能够最好地拟合训练样本。

在这里插入图片描述

例题

在这里插入图片描述

二、线性判别函数基本概念
表达式

在这里插入图片描述

决策规则

在这里插入图片描述方程 g(x)=0 定义了一个决策面,它把归类于ω1类的点和归类于ω2的点分隔开。当g(x)为线性函数时,这个决策面是超平面

三、Fisher线性判别分析方法(没怎么说)
简述Fisher准则函数

在这里插入图片描述

Fisher线性判别

可以考虑把d维空间的样本投影到一条直线上,形成一维空间,即把维数压缩到一维,这在数学上容易办到。然而,即使样本在d维空间里形成若干紧凑的互相分得开的集群,如果把它们投影到一条任意的直线上,也可能使得几类样本混在一起而变得无法识别。 但是在一般情况下, 总可以找到某个方向, 使得在这个方向的直线上,样本的投影能分开得最好。问题是如何根据实际情况找到这条最好的、最易于分类的投影线,这就是Fisher算法所要解决的基本问题。

四、感知器基本原理(没怎么说)

在这里插入图片描述

梯度下降算法(老师没强调)

在这里插入图片描述

算法原理

在这里插入图片描述

  1. 定义代价函数
  2. 选择起始点
  3. 计算梯度
  4. 按学习率前进
  5. 重复第三步直至找到函数最小值
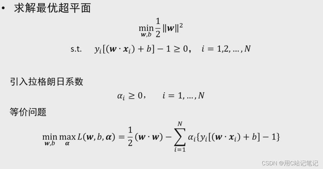
五、最优分类超平面(重点强调了模型,考了)

在这里插入图片描述

  1. 超平面的判断
    在这里插入图片描述

在这里插入图片描述

  1. 优化函数
    在这里插入图片描述

  2. 求解不重要

在这里插入图片描述

六、线性支持向量机(没怎么说)

在这里插入图片描述

补充:线性分类器的三种最优准则(没怎么说)

在这里插入图片描述

Logo

CSDN联合极客时间,共同打造面向开发者的精品内容学习社区,助力成长!

更多推荐