简单帅气的折纸机器人_融合折纸和软体技术,模块化设计的微型昆虫机器人让人眼前一亮...
导读别看微型机器人尺寸小,它的用处可不少!借助于身材的优势,微型机器人可以穿过狭小的空间,它们非常适用于一些特殊的场景,例如地质灾害过后的断壁残垣中搜寻幸存者,或者是潜入一些复杂的机械设备和管道设备中检测,甚至是游走在我们人类的器官和血管中,检查并且排除病灶。微型机器人近年来也成为机器人学家和工程师们一个重要的研究方向。近日,来自土耳其的毕尔肯大学的研究团队研发一款可以模块化组装的微型机器人,称之
导读
别看微型机器人尺寸小,它的用处可不少!借助于身材的优势,微型机器人可以穿过狭小的空间,它们非常适用于一些特殊的场景,例如地质灾害过后的断壁残垣中搜寻幸存者,或者是潜入一些复杂的机械设备和管道设备中检测,甚至是游走在我们人类的器官和血管中,检查并且排除病灶。微型机器人近年来也成为机器人学家和工程师们一个重要的研究方向。近日,来自土耳其的毕尔肯大学的研究团队研发一款可以模块化组装的微型机器人,称之为SMoLBot。SMoLBot机器人基于传统机器人的驱动技术,结合最近兴起的折纸和软体机器人技术,结构精巧,采用了模块化的设计,大大提升了微型机器人的性能和表现,为微型机器人的发展提供了新思路。该研究于7月份发表在国际机器人期刊《IEEE机器人与自动化通讯》(IEEE Robotics and Automation Letter)上。
图1 模块化微型机器人SMoLBot
1. 折纸+软体+模块化设计的SMoLBot
在一个题为“我为什么要制造米粒大小的机器人”的TED演讲中,演讲者Sarah Bergbreiter教授用这么几句话阐述了研究微型机器人的意义:“想象一下地震等自然灾害过后,断壁残垣,这些小机器人穿梭在废墟中,寻找生还者的画面。或者想象一下,一当微型机器人能在你的血液中游动,为你检查,排除病灶,也许医生不再需要开刀就能利用机器人替你手术……”。(感兴趣的小伙伴可以百度这个演讲视频,学习科学知识的同时还可以练习英语喔!)
图2 TED讲座中硬币大小的微型机器人
总的来说,和大家常见的常规尺寸机器人相比(例如机械狗,人形机器人等),微型机器人制造成本低廉,结构简单,运动灵巧。它们非常适合例如检测,搜救等对于小尺寸有着需求的应用场景。高度的可操控性,稳健的运动以及表面适应能力让微型机器人可以通过极其狭小的空间,或者是在复杂的环境中进行一些探索。下图是一些常见的微型机器人,他们分别是(从左上往右下依次列出):来自MIT的Self-folding robot, 来自EPFL的Alice mobile robot,来自Harvard的HAMR,以及来自UC Berkeley的DASH。
图3 常见的几种微型机器人
小编最近看到一篇关于微型机器人的研究论文,介绍了一款融合了折纸技术(Origami),软体机器人技术(soft robotics)以及模块化设计的SMoLBot微型机器人。SMoLBot是由土耳其的毕尔肯大学的研究团队开发研制的,于今年的7月份发表于国际机器人期刊《IEEE机器人与自动化通讯》(IEEE Robotics and Automation Letter)上。SMoLBot机器人结构精巧迷你,外型简单,它动起来仿佛一只机械昆虫。模块化设计的SMoLBot身体由多个具有相同或者相似功能的模块组成,根据不同的应用场景,可以选择2个模块或者是3个模块,模块和模块之间由柔性或者刚性的“仿生脊柱” (PDMS材料)来连接。
图4. 双模块和三模块设计的SMoLBot
SMoLBot的这种模块化设计让微型机器人的加工方式变得简单快捷而且价格低廉,另外,当某一个模块发生故障时,更换修理机器人也变得极其方便。每一个小模块包含一个“身体部分”和两条独立控制的“机械腿”,在身体内部囊括了小型控制板(Atmega-328P),两个直流电机(微型行星齿轮减速电机),一块微型电池(3.7V, 150mAh Li-Po电池),以及两个机械锁扣结构。每一个模块的框架结构由“折纸设计”切割组合而成。
图5. SMoLBot的单个模块
我们先来欣赏一下SMoLBot灵巧的运动展示,在第二部分会为大家介绍它的结构设计,以及论文中提及的一些对于它行走能力的简单测试。文末附有论文链接和完整版视频,不要错过喔!
图7. 三模块行走展示——硬软脊柱对比
图8. 转弯步态展示
图9. 双模块——粗糙地面行走
图10.三模块——粗糙地面行走
2. SMoLbot结构设计以及测试
SMoLBot的身体模块是用厚度为100微米的“醋酸纤维素纸(cellulose acetate sheets)”切割而成,这是一种在微型折叠机器人中很常用的材料。为了增加结构的强度,研究者利用了了T折叠结构和锁扣固定结构来作为构建身体模块的主要结构。当身体模块按照设计好的折叠之后,内部留好了相应的空间,可以依次地摆入电池,脊柱连接件,电机,以及控制板等零件,将空间利用率最大化。
图11.可以直接切割,拼装的折纸结构组成它的身体
研究者们设计了一种“易拆易安装”的连接结构嵌入到身体模块中。脊柱的模具是3d打印的,通过改变模具的形状设计,可以得到不同形状截面的脊柱,利用不同材料进行铸造可以得到不同刚度的脊柱。在这里,研究者选用了PDMS材料,利用不同的材料配比得到了不同硬度的脊柱模型。
图12.柔性和刚性的模块化“仿生脊柱”
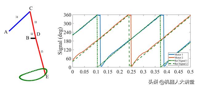
SMoLBot的机械腿采用了一个非常经典的“四连杆”机械结构设计。每一根杆的长度和位置都得到了优化,B点作为电机的放置位置,E点是足端轨迹输出点。当电机连续旋转时,足端可以输出一个椭圆形的连续轨迹,这种轨迹能够最大化的接触地面,同时又会有周期性的抬起,从而满足了微型机器人的腿部运动要求。对于双模块四足SMoLBot,研究者采用了一种对角小跑的步态设计,即对角的腿有着相同的运动相位,另外两侧的腿有着180°的相位差。对于三模块SMoLBot来说,第三个模块和第一个模块有着相同的相位。
图13.机械腿的运动轨迹和步态信号
研究者进行了一项关于脊柱的刚度对于SMoLBot步态稳定性的影响的实验。在测试中,双模块SMoLBot采用对角小跑步态,步态频率为2Hz。测试分别在光滑和粗糙的表面进行。
图14 双模块机器人行走测试
在光滑的地面行走时,测量记录了机器人的俯仰角(pitch angle)。可以看到柔性脊柱的俯仰角波动要比刚性脊柱的俯仰角波动小2度左右,因此,柔性脊柱的运动步态相对于刚性脊柱的而言要更加的稳定。
图15 光滑地面行走:柔性脊柱(红色)和刚性脊柱(蓝色)比较
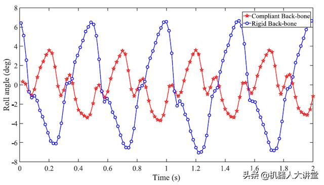
在粗糙的地面行走时,柔性脊柱的优势会更加明显。研究者们测量记录了机器人的侧倾角(pitch angle)。可以看到柔性脊柱的侧倾角波动要比刚性脊柱的侧倾角整体小近4度左右。研究者指出,柔性的脊柱可以让机器人更好的适应地形,从而减少运动过程中的前后段身体模块的差异,因此能够获得更加平稳的运动模式。
图16 粗糙地面行走:柔性脊柱(红色)和刚性脊柱(蓝色)比较
当SMoLBot的控制频率提升时,机器人的速度也会相应的提升,研究者通过输入不同的控制频率测试了SMoLBot的运动速度,同时也比较了刚性和柔性脊柱对于运动速度的影响。实验结果如下图所示。
图17 运动速度的比较:圆形柔性脊柱(红色),方形柔性脊柱(蓝色)和刚性脊柱(黑色)比较
3. 未来展望
不同的微型机器人可以在原子级水平上工作,还可以用于精密制造业的加工和检测,同时它们也可以携带摄像机和微型光纤,进人人类无法到达的地方去察环境,存储或传输图像。
今天介绍的这款SMoLBot微型机器人结构简单,外型精巧,材料也都是比较容易购得的,感兴趣的小伙伴们可以尝试自己动手制作一个类似的微型机器人,操作它在家中或者户外进行一些探索!
总的来说,SMoLBot充分利用了折纸机器人和软体机器人的优势和特点。通过模块化的设计身体和脊柱,让微型机器人获得了更加柔顺的步态和更好的可控性。
研究者指出,在未来会针对脊柱的形状进行进一步的研究和优化,同时,研究者会尝试增加模块的数量,从而获得最优化的一个步态模型。
更多推荐



所有评论(0)